Home > Inorganic Salts >

Glyphosate 480 g/L SL/herbicides/glifosato 48% SL

Categories Herbicide
Place of Origin: China
Brand Name: Qiaochang
Certification: ISO9001
Model Number: HB-30
Glyphosate 480 g/L SL/herbicides/glifosato 48% SL: Glyphosate 480 g/L SL/herbicides/glifosato 48% SL
packaging: 1L/bottle
MOQ: 1000kg/L
Packaging Details: 1L/5L/25L/200L 25KG/200KG/600kg
Delivery Time: 20days
Payment Terms: TT or L/C/DA/DP
Supply Ability: 60000Ton/year
  • Product Details
  • Company Profile

Glyphosate 480 g/L SL/herbicides/glifosato 48% SL

Glyphosate 480 g/L SL/herbicides/glifosato 48% SL

Chemical: Glyphosate
Use category: Herbicide
Content & formulation:
Glyphosate 95% TC
Glyphosate 480 g/L SL
Glyphosate 62% SL
ChemicalGlyphosate
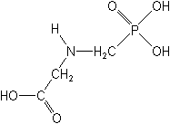
Structure Formula
Common NameGlyphosate (BSI, E-ISO, (m) F-ISO, ANSI, WSSA, JMAF)
CAS No.1071-83-6
CAS NameN-(phosphonomethyl)glycine
Molecular FormulaC3H8NO5P
Agrochemical TypeHerbicide, phosphonoglycine
Mode of ActionBroad-spectrum, systemic herbicide, with contact action translocated and non-residual. Absorbed by the foliage, with rapid translocation throughout the plant. Inactivated on contact with soil.Inhibition of lycopene cyclase.
Characteristics and UsesControl of annual and perennial grasses and broad-leaved weeds, pre-harvest, in cereals, peas, beans, oilseed rape, flax and mustard, at c. 1.5-2 kg/ha; control of annual and perennial grasses and broad-leaved weeds in stubble and post-planting/pre-emergence of many crops; as a directed spray in vines and olives, at up to 4.3 kg/ha; in orchards, pasture, forestry and industrial weed control, at up to 4.3 kg/ha. As an aquatic herbicide, at 0.2 kg/ha.

Glyphosate 95% TC
ITEMSSTANDARDS
AppearanceWhite powder
Content of a.i.≥95 %
Formaldehyde≤0.8%
N-Nitrosoglyphosate≤1.0%

Insolubles in 1M NaOH

≤0.2%

Glyphosate 480 g/L SL
ITEMSSTANDARDS
AppearanceHomogeneous liquid
Content≥480g/L
pH4.0~8.5
Formaldehyde≤ 1%

Solution stability

(5% aqueous solution)

No color change;

Sediment maxium: trace;

Solid particles: pass throug 45μm sieve.

Stability at 0The volume of solid and/or liquid which separates shall not be more than 0.3 ml.

Glyphosate 62% SL
ITEMSSTANDARDS
AppearanceHomogeneous liquid
Content≥62%
Formaldehyde≤ 1%
pH4.0~8.5
Solution stability

(5% aqueous solution)

No color change;

Sediment maxium: trace;

Solid particles: pass throug 45μm sieve

Stability at 0

The volume of solid and/or liquid which separates shall not be more than 0.3 ml






Quality Glyphosate 480 g/L SL/herbicides/glifosato 48% SL for sale
Send your message to this supplier
 
*From:
*To: Qiaochang Agricultural Group
*Subject:
*Message:
Characters Remaining: (0/3000)
 
Inquiry Cart 0
  • Haven't found right suppliers
  • Our buyer assistants can help you find the most suitable, 100% reliable suppliers from China.
  • And this service is free of charge.
  • we have buyer assistants who speak English, French, Spanish......and we are ready to help you anytime!
Submit Buying Request
Contact Us Quickly